Bias-reduced estimation of structural equation models

Haziq Jamil

Research Specialist, BAYESCOMP @ CEMSE-KAUST

https://haziqj.ml/sembias-gradsem/

October 16, 2025

Yves Rosseel
Yves Rosseel
Universiteit Gent | R/{lavaan}
Ollie Kemp
University of Warwick
Ioannis Kosmidis
University of Warwick

Jamil, H., Rosseel, Y., Kemp, O., & Kosmidis, I. (2025). Bias-Reduced Estimation of Structural Equation Models. Manuscript in Submission. arXiv:2509.25419.

poll

Context

SEM in a nutshell

Analyse multivariate data \(\mathbf y=(y_1,\dots,y_p)^\top\) to measure and relate hidden variables \(\boldsymbol\eta=(\eta_1,\dots,\eta_q)^\top\), \(q \ll p\), and uncover complex patterns.

In the social sciences, latent variables are used to represent constructs—the theoretical, unobserved concepts of interest.

(Psychology)
Personality traits

(Healthcare)
Quality of life

(Political science)
Social trust

(Education)
Competencies

Key issue

“Using SEMs in empirical research is often challenged by small sample sizes.”

  • Why? Data collection is expensive, time-consuming, or difficult, or all of these!
  • Rare populations:
    • Quezada, González, and Mecott (2016): Identifying factors of adjustment in pediatric burn patients to facilitate appropriate mental health interventions postinjury (\(n=51\)).
    • Figueroa-Jiménez et al. (2021): Studying functional connectivity network on individuals with rare genetic disorders (\(n=22\)).
    • Fabbricatore et al. (2023): Assessment of psycho-social aspects and performance of elite swimmers (\(n=161\)).
    • Manuela and Sibley (2013): Validating self-report measures of identity on a unique cultural group (\(n=143\)).
  • SEM is desirable, but small \(n \Rightarrow\) poor finite-sample performance (esp. bias).

Outline

  1. Brief overview of SEMs
    • Motivating example
    • ML estimation and inference
    • Examples of SEMs
      • Two-factor SEM
      • Latent growth models
  2. Bias reducing methods
    • What is bias?
    • A review of bias reduction methods
    • Reduced-Bias \(M\)-estimation (RBM)
      • Implicit correction
      • Explicit correction
  3. Simulation studies and results


poll

\[ \definecolor{kaustorg}{RGB}{241, 143, 0} \definecolor{kausttur}{RGB}{0, 166, 170} \definecolor{kaustmer}{RGB}{177, 15, 46} \definecolor{kaustgrn}{RGB}{173, 191, 4} \definecolor{kaustblu}{RGB}{82, 132, 196} \definecolor{kaustpur}{RGB}{156, 111, 174} \]

Structural equation models

Motivating example

Glycemic control and kidney health

Does poorer glycemic control lead to greater severity of kidney disease?

Observe \(p=6\) variables for each patient:

Indicator Description Unit
\(y_1\) HbA1c 3-month avg. blood glucose %
\(y_2\) FPG Fasting plasma glucose mmol/L
\(y_3\) Insulin Fasting insulin level µU/mL
\(y_4\) PCr Plasma creatinine µmol/L
\(y_5\) ACR Albumin–creatinine ratio mg/g
\(y_6\) BUN Blood urea nitrogen mmol/L

casewise” thinking leads to \[ \small \begin{align*} \textcolor{kaustmer}{y_{4}} &= \beta_0^{(4)} + \beta_1^{(4)} \textcolor{kaustblu}{y_{1}} + \beta_2^{(4)} \textcolor{kaustblu}{y_{2}} + \beta_3^{(4)} \textcolor{kaustblu}{y_{3}} + \epsilon^{(4)} \\ \textcolor{kaustmer}{y_{5}} &= \beta_0^{(5)} + \beta_1^{(5)} \textcolor{kaustblu}{y_{1}} + \beta_2^{(5)} \textcolor{kaustblu}{y_{2}} + \beta_3^{(5)} \textcolor{kaustblu}{y_{3}} + \epsilon^{(5)} \\ \textcolor{kaustmer}{y_{6}} &= \beta_0^{(6)} + \beta_1^{(6)} \textcolor{kaustblu}{y_{1}} + \beta_2^{(6)} \textcolor{kaustblu}{y_{2}} + \beta_3^{(6)} \textcolor{kaustblu}{y_{3}} + \epsilon^{(6)} \\ \end{align*} \]

  • Does not give a clear and direct answer.

  • Moreover, variables are assumed to be measured without error.

Covariance-based approach

Sample correlation matrix looks like this1:

  • The data suggests clustering of variables
    • \(y_1\),\(y_2\),\(y_3\) measure glycemic control (\(\texttt{GlyCon}\))
    • \(y_4\),\(y_5\),\(y_6\) measure kidney health (\(\texttt{KdnHlt}\))
  • There is an element of dimension-reduction; much needed for analysing (correlated) multivariate data.
  • Easier to hypothesize relationships, e.g. \[ {\color{kaustmer}\texttt{KdnHlt}} = \alpha + \beta \, {\color{kaustblu}\texttt{GlyCon}} + \texttt{error} \]

  • SEM is about modelling the covariance structure of the data, \[ \boldsymbol\Sigma = \boldsymbol\Sigma(\vartheta). \]

SEM equations

\[ \small \begin{gathered} \begin{pmatrix} y_1 \\ y_2 \\ y_3 \\ y_4 \\ y_5 \\ y_6 \end{pmatrix} = \begin{pmatrix} \textcolor{kaustpur}{\lambda_{11}} & 0 \\ \textcolor{kaustpur}{\lambda_{21}} & 0 \\ \textcolor{kaustpur}{\lambda_{31}} & 0 \\ 0 & \textcolor{kaustpur}{\lambda_{42}} \\ 0 & \textcolor{kaustpur}{\lambda_{52}} \\ 0 & \textcolor{kaustpur}{\lambda_{62}} \\ \end{pmatrix} \begin{pmatrix} \eta_1 \\ \eta_2 \end{pmatrix} + \begin{pmatrix} \epsilon_1 \\ \epsilon_2 \\ \epsilon_3 \\ \epsilon_4 \\ \epsilon_5 \\ \epsilon_6 \end{pmatrix} \\[1em] \begin{pmatrix} \eta_1 \\ \eta_2 \end{pmatrix} = \begin{pmatrix} 0 & 0 \\ {\color{kaustgrn}\beta} & 0 \\ \end{pmatrix} \begin{pmatrix} \eta_1 \\ \eta_2 \end{pmatrix} + \begin{pmatrix} \zeta_1 \\ \zeta_2 \end{pmatrix} \end{gathered} \]

Or, more compactly as

\[ \begin{gathered} \mathbf y = {\color{Gray}\boldsymbol\nu +\,} {\color{kaustpur}\boldsymbol\Lambda} \boldsymbol\eta + \boldsymbol\epsilon \\ \boldsymbol\eta = {\color{Gray}\boldsymbol\alpha +\,} {\color{kaustgrn}\mathbf B} \boldsymbol\eta + \boldsymbol\zeta \end{gathered} \]

with assumptions \(\boldsymbol\epsilon\sim\operatorname{N}_p(\mathbf 0, {\color{kaustorg}\boldsymbol\Theta})\), \(\boldsymbol\zeta\sim\operatorname{N}_q(\mathbf 0, {\color{kausttur}\boldsymbol\Psi})\), and \(\operatorname{cov}(\boldsymbol\epsilon, \boldsymbol\zeta)=\mathbf 0\).

  • SEM parameters include the free entries of \(\color{Gray}\boldsymbol\nu\), \(\color{kaustpur}\boldsymbol\Lambda\), \(\color{kaustorg}\boldsymbol\Theta\), \(\color{Gray}\boldsymbol\alpha\), \(\color{kaustgrn}\mathbf B\), and \(\color{kausttur}\boldsymbol\Psi\).

  • Dump all in \(\vartheta \in\mathbb R^m\), where \(m < p(p+1)/2 {\color{Gray} \,+\, p}\).

  • Sometimes, not interested in mean structure, so \(\color{Gray}\boldsymbol\nu\) and \(\color{Gray}\boldsymbol\alpha\) are dropped.

ML estimation

  • It can be shown that the normal SEM reduces to \(\mathbf y\sim \text{N}_p\big(\boldsymbol\mu(\vartheta), \boldsymbol\Sigma(\vartheta)\big)\), where \[ \begin{align} \boldsymbol\mu(\vartheta) &= \boldsymbol\nu + \boldsymbol\Lambda (\mathbf I - \mathbf B)^{-1} \boldsymbol\alpha \\ \boldsymbol\Sigma(\vartheta) &= \underbrace{\boldsymbol\Lambda (\mathbf I - \mathbf B)^{-1} \boldsymbol\Psi (\mathbf I - \mathbf B)^{-\top} \boldsymbol\Lambda^\top}_{\boldsymbol\Sigma^*(\vartheta)} + \boldsymbol\Theta \end{align} \tag{1}\]
  • Suppose we observe \(\mathcal Y= \{\mathbf y_1,\dots,\mathbf y_n\}\). ML estimation maximises (up to a constant) the log-likelihood \[ \ell(\vartheta) = -\frac{n}{2}\Bigl[ \log \bigl|\boldsymbol\Sigma(\vartheta)\bigr| + \operatorname{tr} \bigl(\boldsymbol\Sigma(\vartheta)^{-1} \mathbf S\bigr) {\color{Gray}+ \bigl(\bar {\mathbf y} - \boldsymbol\mu(\vartheta)\bigr)^{\top} \boldsymbol\Sigma(\vartheta)^{-1} \bigl(\bar {\mathbf y} - \boldsymbol\mu(\vartheta)\bigr)} \Bigr] \tag{2}\] where
    • \(\mathbf S = \frac{1}{n}\sum_{i=1}^n (\mathbf y_i - \bar{\mathbf y})(\mathbf y_i - \bar{\mathbf y})^\top\) is the (biased) sample covariance matrix; and
    • \(\bar{\mathbf y} = \frac{1}{n}\sum_{i=1}^n \mathbf y_i\) is the sample mean.
  • Clearly, the MLE aims to minimise the discrepancy between \(\mathbf S\) and \(\boldsymbol\Sigma(\vartheta)\).

Properties of MLE

  • Let \(\bar{\vartheta}\) be the true parameter value. Subject to standard regularity conditions (Cox and Hinkley 1979), as \(n\to\infty\), \[ \sqrt n (\hat\vartheta - \bar\vartheta) \xrightarrow{\;\;\text D\;\;} \text N_m\left(\mathbf 0, \big[ U(\bar\vartheta)V(\bar\vartheta)^{-1} U(\bar\vartheta) \big]^{-1} \right) \tag{3}\] where

    • \(U(\vartheta) = -\mathbb{E}\left[ \nabla\nabla^\top \ell_1(\vartheta) \right]\) is the sensitivity matrix; and
    • \(V(\vartheta) = \operatorname{var}\left[ \nabla\ell_1(\vartheta) \right]\) is the variability matrix.
  • Calculation of SEs are based off estimates of these matrices. The Godambe or “sandwich” matrix gives robust SEs (Satorra and Bentler 1994; Savalei 2014) in cases of model misspecification.
  • If model is correctly specified, \(U(\vartheta) = V(\vartheta) = I(\vartheta)\), the Fisher information.

Latent growth curve model (GCM)

  • Longitudinal data: repeated measurements on individuals \(i\) over time, e.g. \(\mathbf y_i = (y_{i1},y_{i2},\dots,y_{i10})^\top\), \(i=1,\dots,n\) (Rabe-Hesketh and Skrondal 2008).

  • Usually, linear mixed effects models are used, where \[ \begin{gathered} y_{it} = \overbrace{(\alpha_1 + \eta_{1i})}^{\text{random int.}} + \overbrace{(\alpha_2 + \eta_{2i})}^{\text{random slope}} \cdot (t-1) + \epsilon_{it} \quad\quad t=1,\dots,10 \\[0.5em] \begin{pmatrix} \eta_{1i} \\ \eta_{2i} \end{pmatrix} \sim \text{N}_2\left(\mathbf 0, \begin{pmatrix} \psi_{11} & \psi_{12} \\ \cdot & \psi_{22} \end{pmatrix}\right) \\ \end{gathered} \]

    • \(\alpha_1\) and \(\alpha_2\) are fixed effects (intercept and slope);
    • \(\eta_{1i}\) and \(\eta_{2i}\) are correlated random effects (individual deviations);
    • \(\epsilon_{it}\sim\text{N}(0,\theta)\) are measurement errors.
  • Restricted ML is a popular method to estimate such models, with good parameter recovery for variance components (Corbeil and Searle 1976).

Latent GCM as SEM

\[ \begin{gathered} \boldsymbol\Lambda = \begin{bmatrix} 1 & 0 \\ 1 & 1 \\ \vdots & \vdots \\ 1 & 9 \\ \end{bmatrix} \\ \\ \mathbf y = \boldsymbol\Lambda \boldsymbol\eta + \boldsymbol\epsilon \\ \boldsymbol\epsilon \sim \operatorname{N}_{10}(\mathbf 0, \theta \mathbf I) \\ \boldsymbol\eta \sim \operatorname{N}_2 (\boldsymbol\alpha, \boldsymbol\Psi) \end{gathered} \]

Bias reduction methods

Poll


What is bias?

Bias of an estimator

\[ \mathcal B_{\bar\vartheta}(\hat\vartheta) = \mathbb E\left[\hat\vartheta - \bar\vartheta\right] \tag{4}\]

Consider the stochastic Taylor expansion of \(s(\hat\vartheta)=\nabla\ell(\hat\vartheta)=0\) around \(\bar\vartheta\). For many common estimators including MLE, the bias function is: \[ \mathcal B_{\bar\vartheta} = \frac{b_1(\bar\vartheta)}{n} + \frac{b_2(\bar\vartheta)}{n^2} + \frac{b_3(\bar\vartheta)}{n^3} +O(n^{-4}). \tag{5}\]

Bias arises because the roots of the score equations are not exactly centred at \(\bar\vartheta\), due to:

  1. The curvature of the score \(s(\vartheta)\) creating asymmetry; and
  2. The randomness of the score itself.

Illustration

Biased MLE estimator for \(\sigma^2\)

Consider \(X_1,\dots,X_n \sim \text N(0, \sigma^2)\). The MLE for \(\sigma^2\) is \(\hat\sigma^2 = \frac{1}{n}\sum_{i=1}^n X_i^2\).

Illustration (cont.)

Score functions are random too

The score function is \(s(\sigma^2)=\ell'(\sigma^2) = -\frac{n}{2\sigma^2} + \frac{1}{2\sigma^4}\sum_{i=1}^n X_i^2\).

If you’re interested…

…and love differentiation ️❤️🤓

For a comprehensive treatment of bias-reduction methods,

  • Start here: Cox and Snell (1968)
  • Follow up with: Firth (1993); Kosmidis and Firth (2009); Kosmidis (2014)

By the way, the \(O(n^{-1})\) bias term \(b_1(\bar\vartheta)/n = -I(\bar\vartheta)^{-1} C(\bar\vartheta)\), where \[ \begin{gathered} C_a(\vartheta) = \frac{1}{2} \operatorname{tr} \left[ I(\vartheta)^{-1}\big( G_a(\vartheta) + H_a(\vartheta) \big) \right]\\ G_a(\vartheta)=\mathbb E[s(\vartheta)s(\vartheta)^\top s_a(\vartheta)] \quad\quad H_a(\vartheta)=-\mathbb E[I(\vartheta)s_a(\vartheta)] \\ a=1,\dots,m \end{gathered} \]

where \(s(\vartheta) = \nabla\ell(\vartheta)\) is the score function.

A review

Method Model \(\mathcal{B}(\bar\vartheta)\) Type
Requirements
\(\mathbb{E}(\cdot)\) \(\hspace{2pt} \partial \cdot \hspace{2pt}\) \(\hspace{4pt} \hat\vartheta \hspace{4pt}\)
1 Asymptotic bias correction full analytical explicit
2 Adjusted score functions full analytical implicit
3 Bootstrap partial simulation explicit
4 Jackknife partial simulation explicit
5 Indirect inference full simulation implicit
6 Explicit RBM partial analytical explicit
7 Implicit RBM partial analytical implicit

Firth’s adjusted scores methods

Instead of solving \(s(\vartheta)=0\), solve \(s(\vartheta) + \overbrace{A(\vartheta)}^{\mathcal B(\vartheta) I(\vartheta)}=0\).

Implicit RBM estimator

Computing \(\mathcal B(\vartheta)\) and \(I(\vartheta)\) can be difficult. Consider

\[ s(\vartheta) + A(\vartheta) = 0 \ \Leftrightarrow \ \underset{\vartheta}{\text{arg max}} \left \{ \ell(\vartheta) + P(\vartheta) \right\} \tag{6}\]

where \(P(\vartheta)\) is a penalty term constructed such that \(A(\vartheta) = \nabla P(\vartheta)\). Kosmidis and Lunardon (2024) show that \[ P(\vartheta) = -\frac{1}{2} \operatorname{tr} \Big\{ j(\vartheta)^{-1} e(\vartheta) \Big\} \tag{7}\] where

  • \(j(\vartheta) = \sum_{i=1}^n \nabla\nabla^\top \ell_i(\vartheta)\) is the observed information;
  • \(e(\vartheta) = \sum_{i=1}^n \nabla\ell_i(\vartheta)\nabla^\top\ell_i(\vartheta)\) is the outer-product of scores.

The solution \(\tilde\vartheta\) to (6) is called the implicit RBM estimator (iRBM).

Explicit RBM estimator

Intuitively, by thinking in terms of a Newton-style update, an explicit estimator is obtained via

\[ \vartheta^*= \hat\vartheta + j(\hat\vartheta)^{-1} A(\hat\vartheta). \]

This moves \(\hat\theta\) in the direction \(A(\hat\vartheta)\) away from the bias, with step length governed by the curvature \(j(\hat\vartheta)^{-1}\).

  • Operationally, eRBM is simpler and quicker to compute than iRBM—no re-optimisation needed if \(\hat\theta\) is available.

  • However, unlike iRBM, no guarantees that bias correction stays inside the parameter space.

Simulation studies

Simulation design

  • Sample size: \(n\in \{15,20,50,100,1000\}\)

  • Item reliability: Low or High (\(\operatorname{Rel} = p^{-1}\sum_{j=1}^p \boldsymbol\Sigma_{jj}^* / \boldsymbol\Sigma_{jj}\))

  • Distributional assumption: Normal or Non-normal

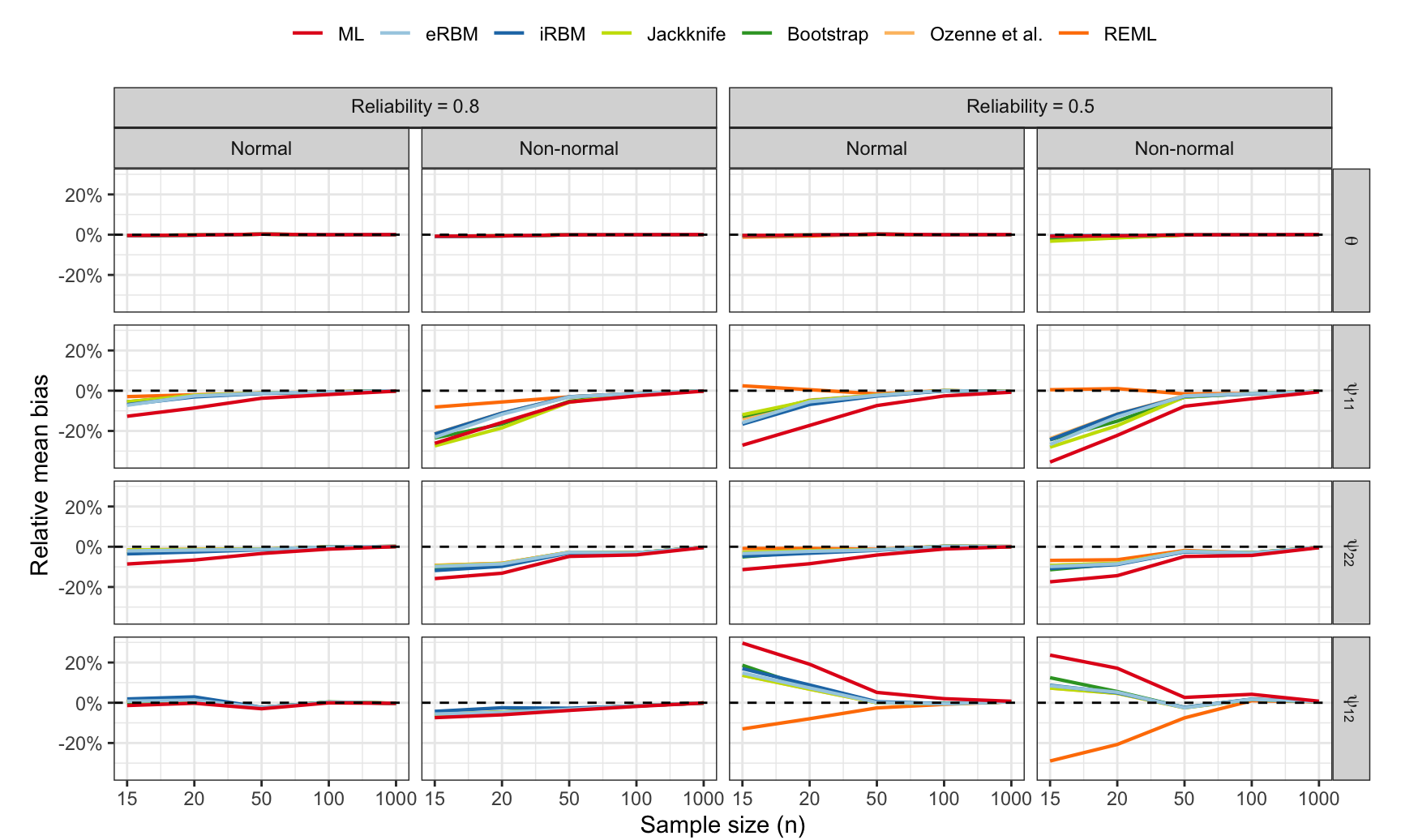
Results: Two-factor SEM

Results: Two-factor SEM (cont.)

Results: Latent GCM

Conclusion

Summary & future work

RBM applied to small sample estimation of SEM show key advantages:

  • 🚀 Improved estimator performances (mean & median bias, RMSE, coverage).

  • 💻 Computationally efficient (c.f. resampling methods).

  • 🤖 Robust to model misspecification.

Future work include

  1. Computational improvements for iRBM.

  2. Plugin penalties to limit exploration of ill-conditioned regions.

  3. Extension to other SEM families, e.g.

    • Path models, mediation models, latent interactions, etc.
    • Alternative to ML estimation e.g. WLS, DWLS, etc.

Software

# pak::pak("haziqj/brlavaan")
library(brlavaan)

mod <- "
  eta1 =~ y1 + y2 + y3
  eta2 =~ y4 + y5 + y6
"
fit <- brsem(model = mod, data = dat, estimator.args = list(rbm = "implicit"))
summary(fit)
brlavaan 0.1.1.9008 ended normally after 88 iterations

  Estimator                                         ML
  Bias reduction method                       IMPLICIT
  Plugin penalty                                  NONE
  Optimization method                           NLMINB
  Number of model parameters                        13

  Number of observations                            50


Parameter Estimates:

  Standard errors                             Standard
  Information                                 Observed
  Observed information based on                Hessian

Latent Variables:
                   Estimate  Std.Err  z-value  P(>|z|)
  eta1 =~                                             
    y1                1.000                           
    y2                0.701    0.071    9.916    0.000
    y3                0.563    0.056    9.978    0.000
  eta2 =~                                             
    y4                1.000                           
    y5                0.703    0.065   10.827    0.000
    y6                0.596    0.055   10.793    0.000

Covariances:
                   Estimate  Std.Err  z-value  P(>|z|)
  eta1 ~~                                             
    eta2              0.291    0.200    1.458    0.145

Variances:
                   Estimate  Std.Err  z-value  P(>|z|)
   .y1                0.190    0.084    2.262    0.024
   .y2                0.182    0.052    3.467    0.001
   .y3                0.112    0.033    3.391    0.001
   .y4                0.154    0.066    2.337    0.019
   .y5                0.131    0.039    3.319    0.001
   .y6                0.099    0.029    3.456    0.001
    eta1              1.363    0.314    4.344    0.000
    eta2              1.216    0.277    4.398    0.000

شكراً جزيلاً

https://haziqj.ml/sembias-gradsem

References

Corbeil, Robert R., and Shayle R. Searle. 1976. “Restricted Maximum Likelihood (REML) Estimation of Variance Components in the Mixed Model.” Technometrics 18 (1): 31–38. https://www.tandfonline.com/doi/abs/10.1080/00401706.1976.10489397.
Cordeiro, Gauss M., and Peter McCullagh. 1991. “Bias Correction in Generalized Linear Models.” Journal of the Royal Statistical Society Series B: Statistical Methodology 53 (3): 629–43.
Cox, D. R., and D. V. Hinkley. 1979. Theoretical Statistics. New York: Chapman and Hall/CRC. https://doi.org/10.1201/b14832.
Cox, D. R., and E. J. Snell. 1968. “A General Definition of Residuals.” Journal of the Royal Statistical Society. Series B (Methodological) 30 (2): 248–75. https://www.jstor.org/stable/2984505.
Efron, Bradley. 1975. “Defining the Curvature of a Statistical Problem (with Applications to Second Order Efficiency).” The Annals of Statistics, 1189–1242. https://www.jstor.org/stable/2958246.
———. 1982. The Jackknife, the Bootstrap and Other Resampling Plans. Society for Industrial and Applied Mathematics. https://doi.org/10.1137/1.9781611970319.
Efron, Bradley, and R. J. Tibshirani. 1994. An Introduction to the Bootstrap. New York: Chapman and Hall/CRC. https://doi.org/10.1201/9780429246593.
Fabbricatore, Rosa, Maria Iannario, Rosaria Romano, and Domenico Vistocco. 2023. “Component-Based Structural Equation Modeling for the Assessment of Psycho-Social Aspects and Performance of Athletes: Measurement and Evaluation of Swimmers.” AStA Advances in Statistical Analysis 107 (1–2): 343–67. https://doi.org/10.1007/s10182-021-00417-5.
Figueroa-Jiménez, Maria Dolores, Cristina Cañete-Massé, María Carbó-Carreté, Daniel Zarabozo-Hurtado, and Joan Guàrdia-Olmos. 2021. “Structural Equation Models to Estimate Dynamic Effective Connectivity Networks in Resting fMRI. A Comparison Between Individuals with Down Syndrome and Controls.” Behavioural Brain Research 405 (May): 113188. https://doi.org/10.1016/j.bbr.2021.113188.
Firth, David. 1993. “Bias Reduction of Maximum Likelihood Estimates.” Biometrika 80 (1): 27–38. https://doi.org/10.1093/biomet/80.1.27.
Gourieroux, C., A. Monfort, and E. Renault. 1993. “Indirect Inference.” Journal of Applied Econometrics 8 (S1): S85–118. https://doi.org/10.1002/jae.3950080507.
Hall, Peter, and Michael A. Martin. 1988. “On Bootstrap Resampling and Iteration.” Biometrika 75 (4): 661–71.
Kosmidis, Ioannis. 2014. “Bias in Parametric Estimation: Reduction and Useful Side-Effects.” WIREs Computational Statistics 6 (3): 185–96. https://doi.org/10.1002/wics.1296.
Kosmidis, Ioannis, and David Firth. 2009. “Bias Reduction in Exponential Family Nonlinear Models.” Biometrika 96 (4): 793–804. https://academic.oup.com/biomet/article-abstract/96/4/793/220575.
Kosmidis, Ioannis, and Nicola Lunardon. 2024. “Empirical Bias-Reducing Adjustments to Estimating Functions.” Journal of the Royal Statistical Society Series B: Statistical Methodology 86 (1): 62–89. https://doi.org/10.1093/jrsssb/qkad083.
MacKinnon, James G., and Anthony A. Smith Jr. 1998. “Approximate Bias Correction in Econometrics.” Journal of Econometrics 85 (2): 205–30.
Manuela, Sam, and Chris G. Sibley. 2013. “The Pacific Identity and Wellbeing Scale (PIWBS): A Culturally-Appropriate Self-Report Measure for Pacific Peoples in New Zealand.” Social Indicators Research 112 (1): 83–103. https://doi.org/10.1007/s11205-012-0041-9.
Quenouille, Maurice H. 1956. “Notes on Bias in Estimation.” Biometrika 43 (3/4): 353–60. https://www.jstor.org/stable/2332914.
Quezada, Lucía, Mónica T. González, and Gabriel A. Mecott. 2016. “Explanatory Model of Resilience in Pediatric Burn Survivors.” Journal of Burn Care & Research 37 (4): 216–25. https://doi.org/10.1097/bcr.0000000000000261.
Rabe-Hesketh, Sophia, and Anders Skrondal. 2008. Multilevel and Longitudinal Modeling Using Stata. STATA press. https://books.google.com/books?hl=en&lr=&id=woi7AheOWSkC&oi=fnd&pg=PR21&dq=rabe+hesketh+skrondal&ots=efJx8d2SOE&sig=iEXwmQmmn8UMZVmuYGYXtvDlESg.
Satorra, Albert, and Pete M. Bentler. 1994. “Corrections to Test Statistics and Standard Errors in Covariance Structure Analysis.” In Latent Variables Analysis: Applications for Developmental Research, 399–419. Thousand Oaks, CA, US: Sage Publications, Inc.
Savalei, Victoria. 2014. “Understanding Robust Corrections in Structural Equation Modeling.” Structural Equation Modeling: A Multidisciplinary Journal 21 (1): 149–60. https://doi.org/10.1080/10705511.2013.824793.
Song, Xin‐Yuan, and Sik‐Yum Lee. 2012. Basic and Advanced Bayesian Structural Equation Modeling: With Applications in the Medical and Behavioral Sciences. 1st ed. Wiley Series in Probability and Statistics. Wiley. https://doi.org/10.1002/9781118358887.